label
Pearltrees
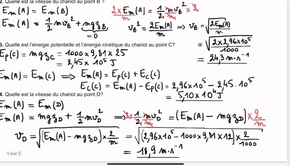
Corrige partie C
par
barriaux
dans
Ch7 - Mouvement dans un champ uniforme
Corrige partie C.mp4
to experience pearltrees activate javascript.